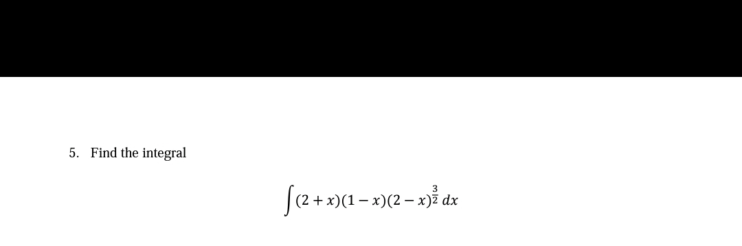
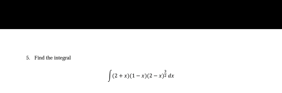
Question: 5. Find the integral 3 (2 + x)(l x)(2 dx

5. Find the integral 3 (2 + x)(l x)(2 dx

image text in transcribed

5. Find the integral 3 (2 + x)(l x)(2 dx

Step by Step Solution

There are 3 Steps involved in it

1 Expert Approved Answer
Step: 1 Unlock blur-text-image
Question Has Been Solved by an Expert!

Get step-by-step solutions from verified subject matter experts

Step: 2 Unlock
Step: 3 Unlock

Students Have Also Explored These Related Mathematics Questions!