Question: Question 2.1 Consider the following restricted VAR(1): Ipt = 0.2 + Ipt-1 + 2ldt-1 + et ldt = 1 + bildt-1 + 67 where Ip










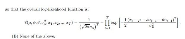
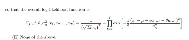
Question 2.1 Consider the following restricted VAR(1): Ipt = 0.2 + Ipt-1 + 2ldt-1 + et ldt = 1 + bildt-1 + 67 where Ip is the log-stock price, Id, is the log-stock dividend, 4 and of are white noise shocks. Indicate which of the following is/are correct. (A) Even though by = 1 so that both series are I(1), Ip, and Id, cannot be cointegrated because an error correction mechanism does not exist. (B) If |bi| ) j=1 where the matrices of vector autoregressive coefficients (A1, A2, ..., Ap) are matrices possibly specified below. Which of the following statements is/are correct: (A) This VAR(p) model is written in structural form. (B) If all the matrices of vector autoregressive coefficients (Al, A2, ..., Ap) are diagonal and E is diagonal, then the VAR(p) model consists of a set of N independent AR(p) models. (C) If all the matrices of vector autoregressive coefficients (A1, A2, ..., Ap) are full matrices, because its unrestricted nature, this VAR(p) may be estimated by OLS, equation by equation. (D) If all the matrices of vector autoregressive coefficients (A1, A2, ..., Ap) are upper triangular (they display only zeroes above the main diagonal), then the VAR(p) is in reduced form but the underlying structural VAR(p) is (at least) just identified. (E) Its unconditional covariance matrix has expression Varly ] = (IN - Al)-1E. (F) None of the above.Question 2.3 Consider the Gaussian ARMA(1,1) model: ut IID N(0, 03) Indicate which of the following is/are correct. (A) The contribution of each observation It (for t 2 1) to the log-likelihood function is: f(It; p, 6, 0, 01) = - In(2102) - 1 (Xt - 4 - 90t-1 - Out-1)2 so that the overall log-likelihood function is: ((1, 0, 0,01; 21, 12,..., x7) = - In(2no2) - (It - 1 - 9It-1 - Out-1)2 N91 - IM- (B) The model should be estimated by maximum likelihood, i.e., by minimizing the opposite (-1x) of the logarithm of the joint density function of the data (21, 12, ..., x) interpreted to be a function of the parameters (here at, $, 0, of) for a fixed data sample of size T. (C) The model should not be estimated by OLS that are unbiased and superconsistent. (D) The contribution of each observation , (for t 2 1) to the log-likelihood function is: f(It; p, 6, 0, 03) = = 1 (at - 4 - 0t-1 - Out-1)- V2TOU + exp 2\fQuestion 2.4 Consider the following reduced-form, unrestricted VAR(2) for the endogeneous variables r and y: It = Yo+ 712t-1 + 724-2 + Yayt-1 + YAVt-2 + of yt = do+ X1yt-1+ Andt-2 + Agit-1 + dart-2 + ed in which E[ ] = E[ ] = 0, Varley] = Var[e;] = 1, Elec] = PE. Indicate which of the following is/are correct. (A) The model can be estimated by GLS equation-by-equation, it implies the need to estimate 13 parameters, and the appropriate number of lags is validly selected by maximizing the Hannan-Quinn multivariate information criterion. (B) If well-conducted F tests would reveal that the null of 73 = 74 = 0 cannot be rejected while the null of A1 = 12 = 0 can be rejected, then we are facing a case of univariate Granger-Sims causality and we shall formally write that y =GC a but a /GC y. (C) The model can be estimated by OLS equation-by-equation, it implies the need to estimate 11 parameters, and the appropriate number of lags is validly selected by minimizing the Hannan-Quinn multivariate information criterion. (D) If well-conducted t tests would reveal that the null of 73 = 74 = 0 cannot be rejected and also the null of A1 = 12 = 0 cannot be rejected, then we are facing a case of univariate Granger-Sims causality and we shall formally write that x = GC y but a fGCy. (E) If well-conducted F tests would reveal that the null of 73 = 74 = 0 cannot be rejected while the null of A1 = 12 = 0 can be rejected, then we are facing a case of univariate Granger-Sims causality and we shall formally write that a =" y but y GC r. (F) None of the above
Step by Step Solution
There are 3 Steps involved in it
Get step-by-step solutions from verified subject matter experts
